Up 「標本調査」の授業の構成──論理的構成 作成: 2014-06-17
更新: 2014-06-18


    「標本調査」の授業構成は,<論理的構成>ということであれば,いろいろにはならない。自ずと定まる。
    即ち,主題が「標本調査」なのであるから,つぎのような流れになる:

    1. 大豆の製品袋からn個を無作為抽出し,重さを測定し,母平均を推定する。
       これが課題である。


    2. 階級を適切に設定して,標本度数分布をヒストグラムに表せ。
       標本平均を求めよ。
       標本標準偏差を求めよ。
       母平均の 95%の信頼区間を求めよ。


    3. 今度は,標本の大きさをn個よりずっと大きくして,同様のことをせよ。
       標本標準偏差は,どうなったか。
       母平均の 95%の信頼区間は,どうなったか。


    4. 標本が大きいほど信頼度は増すが,計算の手間も増す。
       両者のトレードオフを考えよ。


    1, 2 では,つぎのようになる。
    ──簡単のために,階級3つにする。

    1. 標本の大きさ n=10
      つぎの場合:

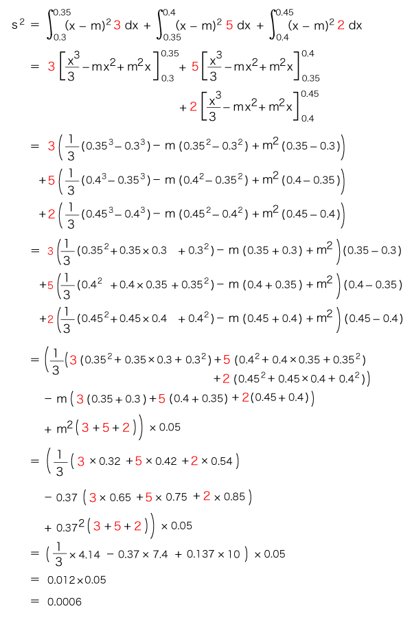
      これの平均mは,

      分散s2 は,

        (標本がそもそも小さいので,分散の値も小さくなる)

      標準偏差sは,
        s= √0.0006 = 0.024

      母平均μの信頼度 95% の信頼区間は,母標準偏差σで,
      そこで,sを母標準偏差σと見なした場合

    2. 標本の大きさ n=100
      上の標本の単純10回累加の場合:

      これの平均mは,

        (平均は,理屈からして,1と同じ)

      分散s2 は,

      標準偏差sは,
        s= √0.0006 = 0.078

      n=100 であれば sは母標準偏差σに見なせるとして,母平均μの信頼度 95% の信頼区間は,

    3. 標本の大きさ n=100
      つぎの場合:

      これの平均mは,

      分散s2 は,

      標準偏差sは,
        s= 0.05

      n=100 であれば sは母標準偏差σに見なせるとして,母平均μの信頼度 95% の信頼区間は,

        (信頼区間の幅が,2より狭まった)



    比較として,上のヒストグラム (連続型) を,柱の中央値に度数をのせた格好の棒グラフ (離散型) に替え,このときの計算がどうなるかを見てみる。

    1. 標本の大きさ 10個
      つぎの場合:

      これの平均mは,
        m=( 0.325 × 3 + 0.375 × 5 + 0.425 × 2 ) / ( 352 )
          = 0.37
      分散s2 は,
        2 =( 0.325 - 0.37 )2 × 3
          + ( 0.375 - 0.37 )2 × 5
          + ( 0.425 - 0.37 )2 × 2
          = 0.0452 × 3 + 0.0052 × 5 + 0.0552 × 2
          = 0.002025 × 3 + 0.000025 × 5 + 0.003025 × 2
          = 0.01225
        (標本がそもそも小さいので,分散の値も小さくなる)

      標準偏差sは,
        s= √0.01225 = 0.11

    2. 標本の大きさ 100個
      上の標本の単純10回累加の場合:

      これの平均mは,
        m=( 0.325 × 30 + 0.375 × 50 + 0.425 × 20 ) / ( 305020 )
          = 0.37
        (平均は,理屈からして,1と同じ)

      分散s2 は,
        2 0.002025 × 30 + 0.000025 × 50 + 0.003025 × 20
          = 0.1225

      標準偏差sは,
        s= √0.1225 = 0.35

    3. 標本の大きさ 100個
      つぎの場合:

      これの平均mは,
        m=( 0.325 × 20 + 0.375 × 70 + 0.425 × 10 ) / ( 207010 )
          = 0.37

      分散s2 は,
        2 = 0.002025 × 20 + 0.000025 × 70 + 0.003025 × 10
          = 0.0725
        (分散が,2より小さくなった)

      標準偏差sは,
        s= √0.0725= 0.27