ペアノの公理
自然数の系は,先ず,集合 と, の一つの要素1と,関数f: ─→ の組
( ,1,f)
であり,そしてこれについて,以下のことが成立している:
1° f(x)=1となる の要素xは存在しない;
2° の要素x,yについてf(x)=f(y)ならばx=y;
3° の部分集合 ' は,つぎの条件を満たすとき,実は と一致している:
1が ' の要素になっている;
xが ' の要素のとき,f(x)も ' の要素.
|
ペアノの公理は,何を言っているのでしょう?
それは, は「系列」である,すなわちつぎの形をしたものである,と言っています:
先ず,集合「 」は,○で示される項の全体です。
「1」は,これの先頭の項です。
(条件 1° は,「1」を先頭として定義するものです。──「先頭」を「何の後でもない」ことと条件づけています。)
「f」は,各項にその直後の項 (「後者(successor)」) を対応させる関数です。
(ここでは,記号 → で対応を表現。)
ちなみに,1, f(1), f(f(1)), ‥‥ の表記の一つが,「1, 2, 3, ‥‥」です。
以下,ペアノの公理が「系列」の形の過不足無い定義になっていることを,見ていくことにします。
1. 先ず,条件3゜により,1, f(1), f(f(1)), ‥‥ 全体が になります。
特に, は,fによって全体が一つに連結しています。
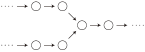
2. つぎの枝分かれの形は,ありません:
この形の排除は,「関数f」に含意されています。
──関数とは一意対応のこと (「一つの要素に一つの要素が,しかもただ一つの要素が,対応する」)。
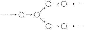
3. つぎの枝分かれの形は,ありません:
条件2゜が,この形を排除するものになっています。
4. 部分ループは,上の2タイプの枝分かれのいずれかを含むので,ありません。
5. つぎの全体ループの形も,ありません:
実際,条件1゜より,この中に1は存在できません。
6. つぎの終端の形は,ありません:
仮にこの形があるとして,終端をxとし,f(x) がどうなるか考えます。
条件1゜より,f(x) は1ではありません。
そして,条件2゜より,f(x) は1以外の項でもありません。
結局,f(x) は存在できません。
7. つぎの無限溯行の形は,ありません:
実際,条件1゜より,この中に1は存在できません。
8. こうして,つぎの形が残ります:
そしてこれは,( ,1,f)の条件を満たすものになっています。
註: |
条件3°は,“数学的帰納法の公理”と呼ばれます。
実際,命題関数P(x)に対する命題
は, ' ={x│x かつP(x)}とおいたときの命題
「 ' = 」
と同じです。そしてこれを条件3°を適用して証明するとき,条件3°を「数学的帰納法の公理」として用いたということになります。
|
|