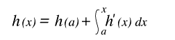
ŠΦ”‚Μ‚ŽŽŸ‹ίŽ— (Taylor“WŠJ)  


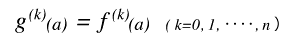
ŠΦ” f ‚π‹ίŽ—‚·‚ι nŽŸŠΦ” g ‚̍\’z

ƒc[ƒ‹F
u‹ίŽ—v‚ΜπŒF





    —α
    • sin(‚˜)  ‚˜ | ‚˜3/3I{ ‚˜5/5I | ‚˜7/7I{ dd
    • cos(‚˜)  1 | ‚˜2/2I{ ‚˜4/4I | ‚˜6/6I{ dd
    • exp(‚˜)  1 { ‚˜ { ‚˜2/2I{ ‚˜3/3I{ dd
    • log(1{‚˜)  ‚˜ | ‚˜2/2I{ ‚˜3/3I | ‚˜4/4I{ dd