Up
構成
作成: 2015-02-17
更新: 2015-02-18
論文は,つぎの部分で,主題/ストーリーを述べる:
題目
要約
はじめに
おわりに
残りの部分 (いわゆる「本論」) は,主題/ストーリーの「証し」である。
即ち,主題/ストーリーを一つの命題としたときの,この命題の真を証す。
行うことは,「論証」である。
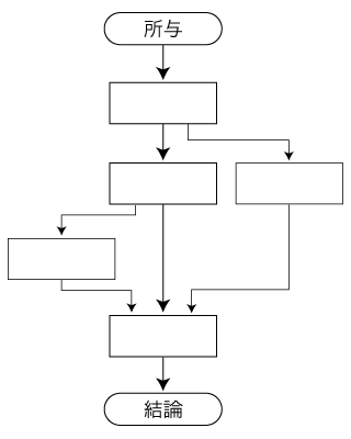
所与 (前提) を明示し,所与から結論を論理的に導く。
「本論」がこのようにできているかどうかを見る方法は?
コンピュータ・プログラムの流れ図的なものを書いてみることである:
流れ図が明瞭に立たないのは,「構成が下手」ではない。
「構成の意識が端(はな)から無い」である。 ──少なくとも,このように心得るべし。