- 関数 f に対し,f の変化を表現する関数 f' を求めること (その内容) を,「f を微分する」と言います。
そこで「f の変化の表現」ですが,これはつぎのように定めます:
- 点Pにおいてなめらかな関数 f に対し,「Pにおける f の変化を表現する1次関数 (接線)」をつぎの条件によって定める:
- Pを通る
- Pにおけるfの変化率を傾きとする
- いたるところなめらかな関数 f に対し,「 f の変化を表現する関数 f' (f の導関数)」をつぎのように定義する:
f'(x) = 点(x, f(x)) におけるfの変化率
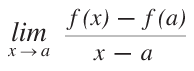
- 点Pにおいて「なめらか」とは,操作的には,点P (a, f(a)) におけるfの変化率
が求まることです。そしてこのことは,ここで導入した「微分」の語を使えば,「微分可能」と言い換えられることになります。
|